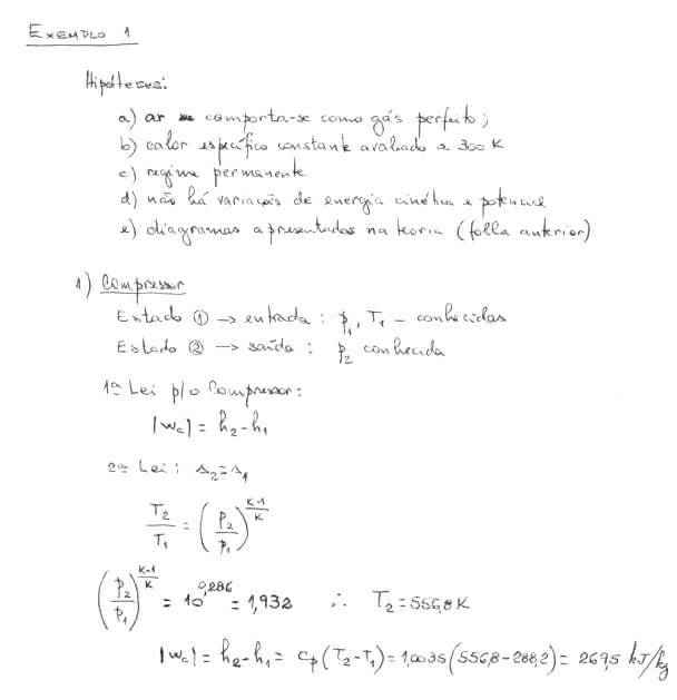
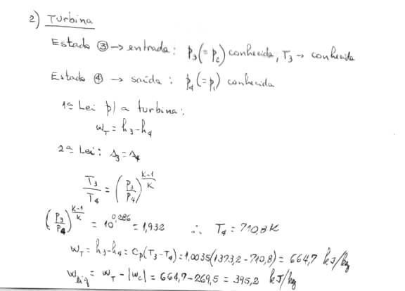
Ciclos Motores Padrões a Ar - (solução dos exemplos)
Apostila Máquinas Térmicas - 5ª Página
Apostila Máquinas Térmicas - 5ª Página

| Retorna | Topo da Página | Próxima Página |